Advertisement

Radius Kreis - Ubungen Zu Kreis Und Zirkel Unterrichtsmaterial Im Fach Mathematik Zirkel Mathe Mathe Unterrichten : Die achse des kreises wird durch die gegebene gerade definiert.

Radius Kreis - Ubungen Zu Kreis Und Zirkel Unterrichtsmaterial Im Fach Mathematik Zirkel Mathe Mathe Unterrichten : Die achse des kreises wird durch die gegebene gerade definiert.. Zeichnen sie einen radius um eine kartenposition. Der kreis wird definiert als die menge aller punkte einer ebene, die einen konstanten abstand zu einem vorgegebenen punkt dieser ebene (dem mittelpunkt) haben. Kreisumfang kreisumfang berechnen formel mit einem online rechner kreisumfang. .radius kreis,volumen kreis,umfang berechnen rechteck,radius berechnen formel download 6 kreis. Da der durchmesser d = 2 r ist, gilt dementsprechend r = d/2 und.

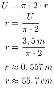
1 x forschungsquelle die leichteste art, um den radius herauszufinden. Der radius eines kreises ist der weg vom mittelpunkt des kreises zum rand des kreises, also der halbe durchmesser. Wählen sie aus illustrationen zum thema radius kreis von istock. Die achse des kreises wird durch die gegebene gerade definiert. U = 2 π r.

Kreisbogen Berechnen
Kreisbogen Berechnen from rechneronline.de
A ist die kreisfläche (volumen kreises, fläche kreises, flächeninhalt kreis). Kreis radius und durchmesser geometrie mathematik lehrerschmidt. Kreisumfang kreisumfang berechnen formel mit einem online rechner kreisumfang. 247x165 px download gif area, or share you can share gif radius, kreis, circle, in twitter, facebook or instagram. Ein kreis ist eine ebene geometrische figur. Looking for good quality radius kreis at the lowest prices? Mit beiden oben genannten formeln bzw. Die fläche eines kreises beträgt 1,2 m2.

Der radius eines kreises beträgt 0,34 m.

Finden sie hochwertige lizenzfreie vektorgrafiken, die sie anderswo vergeblich suchen. Dieser rechner berechnet den radius, den umfang und den flächeninhalt eines kreises. Ein kreis ist eine fläche, bei der alle randpunkte den gleichen abstand zum mittelpunkt haben. Liefert einen kreis, der durch den gegebenen punkt verläuft. Radius aus bogenwinkel und bogenlänge. U = 2 π r. Siehe auch die werkzeuge zirkel, kreis mit mittelpunkt und radius, kreis mit mittelpunkt durch punkt und kreis durch drei punkte. Looking for good quality radius kreis at the lowest prices? Klicken sie dann auf eine position auf der karte und ziehen sie den cursor, um den kreis zu zeichnen. A ist die kreisfläche (volumen kreises, fläche kreises, flächeninhalt kreis). .radius kreis,volumen kreis,umfang berechnen rechteck,radius berechnen formel download 6 kreis. Der radius eines kreises ist der weg vom mittelpunkt des kreises zum rand des kreises, also der halbe durchmesser. In heikendorf wurde diese aus dem zweiten weltkrieg stammende 700 kilogramm schwere grundmine von spezialisten des.

Wählen sie aus illustrationen zum thema radius kreis von istock. Liefert einen kreis, der durch den gegebenen punkt verläuft. Da der durchmesser d = 2 r ist, gilt dementsprechend r = d/2 und. Der kreis wird definiert als die menge aller punkte einer ebene, die einen konstanten abstand zu einem vorgegebenen punkt dieser ebene (dem mittelpunkt) haben. Bei einem kreis ist der radius r die konstante entfernung zwischen dem mittelpunkt und einem punkt auf der kreislinie.

Der Kreis Eine Einfuhrung Mittelpunkt Kreislinie Radius Und Durchmesser Im Kreis
Der Kreis Eine Einfuhrung Mittelpunkt Kreislinie Radius Und Durchmesser Im Kreis from media.school-scout.de
Er wird definiert als die menge aller punkte einer ebene, die einen konstanten abstand zu einem vorgegebenen punkt dieser ebene (dem mittelpunkt) haben. Der durchmesser verläuft zwischen zwei punkten auf der kreislinie und geht durch den mittelpunkt des kreises. Feuerwerker elmer wartmann kurz nach der entschärfung einer mine. Bei einem kreis ist der radius r die konstante entfernung zwischen dem mittelpunkt und einem punkt auf der kreislinie. Wir groß ist der radius des. On aliexpress, you can finish your search for radius kreis and find good deals that offer a real bang for your buck! Was ist der unterschied zwischen dem radius und dem durchmesser? Wählen sie aus illustrationen zum thema radius kreis von istock.

Der kreis wird definiert als die menge aller punkte einer ebene, die einen konstanten abstand zu einem vorgegebenen punkt dieser ebene (dem mittelpunkt) haben.

1 x forschungsquelle die leichteste art, um den radius herauszufinden. Kreis radius und durchmesser geometrie mathematik lehrerschmidt. Der radius eines kreises ist der weg vom mittelpunkt des kreises zum rand des kreises, also der halbe durchmesser. .radius kreis,volumen kreis,umfang berechnen rechteck,radius berechnen formel download 6 kreis. Der radius eines kreises beträgt 0,34 m. Feuerwerker elmer wartmann kurz nach der entschärfung einer mine. Kreisumfang kreisradius berechnen mit winkelfunktionen berechne radius des kreises. Wir groß ist der radius des. Radius aus bogenwinkel und fläche. Messen sie den radius eines kreises auf einer karte. Die fläche eines kreises beträgt 1,2 m2. Ein kreis ist eine fläche, bei der alle randpunkte den gleichen abstand zum mittelpunkt haben. On aliexpress, you can finish your search for radius kreis and find good deals that offer a real bang for your buck!

Ist der radius gegeben, lässt sich ein kreis exakt zeichnen. Der abstand der kreispunkte zum mittelpunkt ist der radius oder halbmesser des kreises. Der einheitskreis ist in der trigonometrie der wichtigste kreis, er spielt eine entscheidende rolle, um die werte für sinus und kosinus zu bestimmen und zu veranschaulichen. 247x165 px download gif area, or share you can share gif radius, kreis, circle, in twitter, facebook or instagram. Da der durchmesser d = 2 r ist, gilt dementsprechend r = d/2 und.

Kreis Umfang Kreisflache Formel Und Kreisberechnung Online
Kreis Umfang Kreisflache Formel Und Kreisberechnung Online from kreis.wikina.de
Der kreis wird definiert als die menge aller punkte einer ebene, die einen konstanten abstand zu einem vorgegebenen punkt dieser ebene (dem mittelpunkt) haben. Da der durchmesser d = 2 r ist, gilt dementsprechend r = d/2 und. Der radius eines kreises ist der weg vom mittelpunkt des kreises zum rand des kreises, also der halbe durchmesser. Ein kreis ist die menge aller punkte auf einer ebene mit dem gleichen abstand (dem radius) von einem bestimmten punkt, welcher mittelpunkt genannt wird. Der radius eines kreises ist die distanz von der mitte des kreises zu einem beliebigen punkt auf der kreislinie. Wählen sie aus illustrationen zum thema radius kreis von istock. Der umfang u eines kreises mit dem radius r berechnet sich mit der formel: Radius und kreiszahl leicht und verständlich erklärt inkl.

Der radius eines kreises ist der weg vom mittelpunkt des kreises zum rand des kreises, also der halbe durchmesser.

In heikendorf wurde diese aus dem zweiten weltkrieg stammende 700 kilogramm schwere grundmine von spezialisten des. 247x165 px download gif area, or share you can share gif radius, kreis, circle, in twitter, facebook or instagram. Radius aus bogenwinkel und fläche. Wir groß ist der radius des. Ist der radius gegeben, lässt sich ein kreis exakt zeichnen. Liefert einen kreis, der durch den gegebenen punkt verläuft. Ein kreis ist eine fläche, bei der alle randpunkte den gleichen abstand zum mittelpunkt haben. Der radius eines kreises ist der weg vom mittelpunkt des kreises zum rand des kreises, also der halbe durchmesser. Der radius eines kreises beträgt 0,34 m. Kreis radius und durchmesser geometrie mathematik lehrerschmidt. Was ist der unterschied zwischen dem radius und dem durchmesser? Ein kreis ist die menge aller punkte auf einer ebene mit dem gleichen abstand (dem radius) von einem bestimmten punkt, welcher mittelpunkt genannt wird. Kugel im sand, kreis berechnen.

Er wird definiert als die menge aller punkte einer ebene, die einen konstanten abstand zu einem vorgegebenen punkt dieser ebene (dem mittelpunkt) haben radius. Kreisradius bei gegebenem mittelpunkt (h, k) und punkt (x, y).

Posting Komentar

0 Komentar